This is a parabola in general form The easiest way to graph it is to turn it into standard form y=a (xp)^2q, by completing the square y=x^2 5x6 Halve the b term (b=5 in this equation), then square it (5/2)^2 = 25/4 Ther efore, if the line y = c intersects the parabola defined by y = −x 2 5x at exactly one point, then c = 25/4 Either 25/4 or 625 maySolution Express X 2 5x 6 In The Form Of X A 2 B Hence State The Coordinates Of The Turning Point Of The Curve Y X 2 5x 6 I Really Don 39 T Understand How To Work Out The Turning Poin For more information and Solution What Is The Vertex And The Axis Of Symmetry Of The Parabola Y X 2 5x 6 For more information and source, see on this
1
Y=x^2-5x+6 parabola
Y=x^2-5x+6 parabola-Whereas to graph the following equation y equals 5x squared minus x plus 15 so let me get my little scratch pad out so it's y is equal to 5x squared minus x plus 15 now there's many ways to graph this you can just take three values for X and figure out what the corresponding values for Y are just graph those three points and three points actually will determine a parabola but I want toGet an answer for 'The parable y = x^2 5x 6 is intercepting x axis and y axis in the points P1 and P2 Find these points ' and find homework help for other Math questions at eNotes



Solve X 2 5x 6 0 Youtube
Free Parabola calculator Calculate parabola foci, vertices, axis and directrix stepbystep This website uses cookies to ensure you get the best experienceWhy Does X 2 5x 6 0 Which Is The Same As X 3 X 2 0 Represent A Parabola Mathematics Stack Exchange For more information and source Solution Express X 2 5x 6 In The Form Of X A 2 B Hence State The Coordinates Of The Turning Point Of The Curve Y X 2 5x 6 I Really Don 39 T Understand How To Work Out The Turning Poin For more informationRegion bounded by the parabolas y=x^2 and y=6x (x^2) is rotated about the xaxis so that a vertical line segment cut off by the curves generates a ring find the value of x for which we obtain the ring of largest 11,1 results
Find Equation of Tangent to Parabola FIND EQUATION OF TANGENT TO PARABOLA A tangent to a parabola is a straight line which intersects (touches) the parabola exactly at one point Example 1 Determine the equation of the tangent to the curve defined by f(x) = x 3 2x 27x1Parabola, Finding the Vertex 61 Find the Vertex of y = x 25x6 Parabolas have a highest or a lowest point called the Vertex Our parabola opens up and accordingly has a lowest point (AKA absolute minimum) We know this even before plotting "y" because the coefficient of the first term, 1 , is positive (greater than zero)Foci\3x^22x5y6=0 vertices\x=y^2 axis\(y3)^2=8(x5) directrix\(x3)^2=(y1) parabolaequationcalculator en Related Symbolab blog posts Practice, practice, practice Math can be an intimidating subject
The area is the integral from x=1 to 4 of parabola minus straight line Area is ∫₁⁴ (5xx²4)dx = 5x²/2x³/3–4x = (5*4*4/2–4*4*4/3–4*4)(5/2–1/3–4Given the parabola y= x^2 5x 4 and the line y= 2x2 We need to find the intersection points of the parabola and the line The intersection points are the values of x and y such thatAnd y = −√x (the bottom half of the parabola) Here is the



8 5 Graphing Quadratic Equations Ase Algebra For Adult Education Openstax Cnx



Draw The Graph Of Y X 2 3x 4 And Hence Use It To Solve X 2 3x 4 0 Y 2 X 3x 4 Sarthaks Econnect Largest Online Education Community
Y=x^25x6 complete the square y= (x^25x25/4)625/4 y= (x5/2)^224/425/4 y= (x5/2)^249/4 This is an equation of a parabola that opens upwards Its standard form y=A (xh)^2k, (h,k)= (x,y) coordinates of vertex For given equation y=Graph y=x^25x2 Find the properties of the given parabola Tap for more steps Rewrite the equation in vertex form Tap for more steps Complete the square for The directrix of a parabola is the horizontal line found by subtracting from the ycoordinate of the vertex if the parabola opens up or down In the quadratic function y x 2 5x 6 we can plug any real value for x The range is simply y 2 I if the parabola is open downward the range is all the real values less than or equal to The parabola has a maximum value at y 2 and it can go down as low as it wants This means that any real number can be used as an input value



Chp 3 Homework Review Pdf



Square And Cube Function Families Read Algebra Ck 12 Foundation
All equations of the form a x 2 b x c = 0 can be solved using the quadratic formula 2 a − b ± b 2 − 4 a c The quadratic formula gives two solutions, one when ± is addition and one when it is subtraction x^ {2}5xy4=0 x 2 5 x − y − 4 = 0 This equation is in1 (b) Figure 1 shows part of the graph of the quadratic function y = x 2 5x − 6 Figure 1 (i) Find the equation of the axis of symmetry of the parabola given by y = x 2 5x − 6, explaining your method 2 (ii) Use your answer to part (b)(i) to find the coordinates of the vertex of the parabola given by y = x 2 5x − 6Tangent lines passing through a given point There are three different instances, depending on whether the point is external, belonging or internal to the parabola, as shown in the following picture 1 Tangent lines passing through an external point Example Find the tangent lines to the parabola with equation passing through the point Solving



Parabolas And Their Features Pdf Free Download



Draw The Graph Of Y X 2 3x 2 And Use It To Solve X 2 2x 1 0 Sarthaks Econnect Largest Online Education Community
Parabolas can have both xintercepts and y intercepts yintercept As you can see from the picture below, the yintercept is the point at which the parabola intercepts the yaxis xintercepts The xintercepts are the points or the point at which the parabola intersects the xaxis A parabola can have either 2,1 or zero real x intercepts Y=x^25x4 find the vertext and intercepts of a parabola Answered by a verified Math Tutor or Teacher We use cookies to give you the best possible experience on our website By continuing to use this site you consent to the use of cookies on your device as described in our cookie policy unless you have disabled them asked in Mathematics by paayal (147k points) Angle between the tangents to the curve y = x 2 – 5x 6 at the points (2, 0) and (3, 0) is (a) π /2



2 02 Quadratic Equations



Quadratic Functions Precalculus I
We can use the results of step 2, step 3, step 4 and sketch the graph of the given parabola Step 6 We can get solution for the given inequality from the graph of the parabola Example 1 Solve the quadratic inequality given below graphically x 2 5x 6 ≥ 0 Solution Step 1 Let y = x 2 5x 6 (1) Then we have,Observe that this parabola has an axis which is parallel to the x x xaxis The vertex is the midpoint between the directrix and focus, which is (2, 2) (2,2) (2, 2) Thus we can consider the parabola y 2 = 4 a x y^2=4ax y 2 = 4 a x having been translated 2 units to the right and 2 units upwardFinding the focus of a parabola given its equation If you have the equation of a parabola in vertex form y = a ( x − h) 2 k, then the vertex is at ( h, k) and the focus is ( h, k 1 4 a) Notice that here we are working with a parabola with a vertical axis of symmetry, so the x coordinate of the focus is the same as the x coordinate of



Graph Quadratic Functions Using Properties Intermediate Algebra



The Axis Of The Parabola X 2 2x Y Y 2 5x 5y 5 0 Is Youtube
where ( h , k ) are the coordinates of the vertex and a is a constant for a parabola in standard form y = ax2 bx c xvertex = − b 2a y = x2 − 5x −6 is in standard form with a = 1,b = − 5,c = − 6 ⇒ xvertex = − −5 2 = 5 2 substitute this into the equation for ycoordinate ⇒ yvertex = (5 2)2 −5( 5 2) −6 = − 49 4 ⇒ vertex = ( 5 2, − 49 4)Solve your math problems using our free math solver with stepbystep solutions Our math solver supports basic math, prealgebra, algebra, trigonometry, calculus and moreIf the leading coefficient a is negative, then the parabola opens downward and there will be a maximum yvalue Example 6 Determine the maximum or minimum y = − 4 x 2 24 x − 35 Solution Since a = −4, we know that the parabola opens downward and there will be a maximum yvalue To find it, we first find the xvalue of the vertex



Solve X 2 5x 6 0 Youtube



Parabolas
Every parabola has an axis of symmetry which is the line that divides the graph into two perfect halves On this page, we will practice drawing the axis on a graph, learning the formula, stating the equation of the axis of symmetry when we know the parabola's equationTo ask Unlimited Maths doubts download Doubtnut from https//googl/9WZjCW Angle between the tangents to the curve y = `x^2 5x 6` at the points (2,0) one x intercept for a parabola is at the point (2,0) Use the factor method to find the other xintercept for the parabola defined by this equation y=x^25x6 Categories English Leave a Reply Cancel reply Your email address will not be



Confidential 1 Graphing Quadratic Functions Confidential 2 Warm Up Find The Vertex Of Each Parabola 9 Y X 2 4x 7 1 Y 5x X 3 2 Y Ppt Download



Practice Exam 1
The parabola is also shifted 1 unit to the left, then 6 units downward, placing the vertex at (−1, −6), as shown in Figure \(\PageIndex{3}\)(a) The table in Figure \(\PageIndex{3}\)(b) calculates two points to the right of the axis of symmetry, and mirror points on the left of the axis of symmetry make for an accurate plot of the parabola y = x 2 5 x 6 Use y − y 1 = m ( x − x 1) to create lines that go through ( 1, 1) y − 1 = m ( x − 1) y = m x 1 − m Find when these lines intersect with the parabola x 2 5 x 6 = m x 1 − m x 2 x ( 5 − m) ( 5 m) = 0 Find for what values of Please check for meWithout drawing the graph of the given equation determine (a)how many xintercepts the parabola has (b)whether it vertex lies above, below or on the axis 1 y=x^25x6 I use the determinant sqrt b^2 4ac (5)^24(1)(6))=1 There



Why Does X 2 5x 6 0 Which Is The Same As X 3 X 2 0 Represent A Parabola Mathematics Stack Exchange



Draw The Graph Of Y X 2 5x 6 And Hence Solve X 2 5x 14 0 Sarthaks Econnect Largest Online Education Community
Parabola, Finding the Vertex 31 Find the Vertex of y = x 25x6 Parabolas have a highest or a lowest point called the Vertex Our parabola opens up and accordingly has a lowest point (AKA absolute minimum) We know this even before plotting "y" because the coefficient of the first term, 1 , is positive (greater than zero)Solution (1) π / 2 The given equation is y = x 2 – 5x 6 dy / dx = 2x – 5 Slope of tangent at (2, 0) = m 1 = 4 – 5 = – 1 Slope of tangent at (3, 0) = m 2 = 6 – 5 = 1 m 1 m 2 = – 1 The angle between the tangents = π / 2That's because this is made by 5 different equations MOHIT RANJAN , works at Jadavpur University Answered 4 years ago Mark the points,x=2,3,9,2/3 Now take different domain X (infinity,2/3) y=x^2–5x69x (3x2) X (2/3,2) y=x^2–5x69x3x2 X (2,3) y= (x^2–5x6)9x3x2



Systems Of Linear And Quadratic Equations



Solution Find The Vertex And Intercept For The Parabola Sketch The Graph G X X 2 X 6
To solve the equation x 2 – 5x – 14 = 0, subtract x 2 – 5x – 14 = 0 from y 2 = x – 5x – 6 The coordinates of the points of intersection of the line and the parabola forms the solution set for the equation x 2 – 5x – 14 = 0 ∴ Solution {2, 7}The parabola y = x 2 5 x 6 is intersected by the line y = − 2 1 x 1 2 What is the ycoordinate of the intersection closest to the xaxis?The parabola y = − x 2 5 x 6 is intersected by the line y = − 1 2 x 12 What is the y coordinate of the intersection closest to the x axis?



Solution Write Each Function In Vertex Form Sketch The Graph Of The Function And Label Its Vertex 33 Y X2 4x 7 34 Y X2 4x 1 35 Y 3x2 18x 36 Y 1 2x2 5x



Quadratic Function
Y = x2 − 5x 6 y = x 2 5 x 6 Find the properties of the given parabola Tap for more steps Rewrite the equation in vertex form Tap for more steps Complete the square for x 2 − 5 x 6 x 2 5 x 6 Tap for more steps Use the form a x 2 b Now we have a situation where the parabola is rotated Let's go through the steps, starting with a basic rotated parabola Example 6 y 2 = x The curve y 2 = x represents a parabola rotated 90° to the right We actually have 2 functions, y = √x (the top half of the parabola); Finding the yintercept of a parabola can be tricky Although the yintercept is hidden, it does exist Use the equation of the function to find the y intercept y = 12 x 2 48 x 49 The yintercept has two parts the xvalue and the yvalue Note that the xvalue is always zero So, plug in zero for x and solve for y y = 12 (0) 2 48 (0



Y X 2 Teacherweb



Graphing Parabolas
Parabola and line intersection (basic algebra) with the goal of calculating the range of values for k such that the line and parabola do not intersect So far I've tried to find the turning point of the quadratic, though in terms of k k/3, ( 15 − k 2) / 3 I think whatever k is, it must be less than the y value of the Quadratic'sFor the function {eq}y=x^25x6 {/eq} (a) Find the vertex (b) Find the yintercept (c) Find the xintercepts (Leave your answers in simplified radical form or, where appropriate, round to theAbout Press Copyright Contact us Creators Advertise Developers Terms Privacy Policy & Safety How works Test new features Press Copyright Contact us Creators



1



Parabola Equations And Graphs Directrix And Focus And How To Find Roots Of Quadratic Equations Owlcation
Use this to find the equation of the tangent line to the parabola {eq}y = x^2 5x 6 {/eq} at the point {eq}(3,57) {/eq} Tangent Line The equation of a tangent line is the linear function



Why Does X 2 5x 6 0 Which Is The Same As X 3 X 2 0 Represent A Parabola Mathematics Stack Exchange



Quadratic Graphs Parabolas Ppt Download



Solution Express X 2 5x 6 In The Form Of X A 2 B Hence State The Coordinates Of The Turning Point Of The Curve Y X 2 5x 6 I Really Don 39 T Understand How To Work Out The Turning Poin



No Links Please 7 Find The Area Of The Segment Of The Parabola Y X2 5x Maths Relations And Functions Meritnation Com



Vertex Form Of A Quadratic Equation Algebra Socratic



How Would I Find The X Intercepts Of A Parabola Using The Vertex 5 1 And Y Intercept 27 2 Quora



Parabolas Ppt Download



Vertex Form Of A Quadratic Equation Algebra Socratic



Step To Draw Y X 2 4x 1and Find Solution To Quadratic Equation Y X 2 5x 4 Youtube



Solution Find The Value Of K For Which The Line Y X K Is A Tangent To The Curve Y To The Power Of 2 5x 10



Sketch The Parabola Of Equation Y X 2 6x 9 And Indicate Its Vertex Study Com



Finding The Parts Of A Parabola Ck 12 Foundation



Solved Determine The X And Y Intercepts Y X2 5x X2212 6 Chegg Com



Finding The Vertex Of A Parabola In Standard Form Video Khan Academy



How To Graph A Parabola Of Y X 1 X 5 Mathskey Com



Range Of Quadratic Functions Article Khan Academy



Xiii Determine All Points Of Intersection 1 Chegg Com



Graphing Parabolas



Vertex And Intercepts



Prove That The Tangents To The Curve Y X 2 5x 6 At The Points 2 0 And 3 0 Are At Right Angles



Graphing Parabolas Using The Vertex Axis Of Symmetry Y Intercept By Jeffrey Bivin Lake Zurich High School Last Updated October Ppt Download



Quadratic Functions And Their Graphs



What Is The Vertex Form Of Y 3x 2 5x 2 Socratic



Solution I Need Help Solving And Graphing This Equation X 2 5x 6 0 X 2 2x 3x 2 3 0 X X 2 3 X 2 0 X 2 X 3 0 X 2 0 Or X 3 0 X 2 Or



Graphing A Parabola Math Central



Solved Find The Equation Of The Parabola Shown In The Ill Chegg Com



Quadratic Functions Precalculus I



Graphing Parabolas



Http Mrsk Ca Ap 6 3graphusingintercepts Pdf



Mathscene Integration Lesson 3



2 02 Quadratic Equations



Quadratic Functions



What Are The X Intercepts Of Y X 2 6x 4 Quora



How Do You Graph Y X 2 5x 4 Socratic



The Parabola Y X 2 C Is To Be Tangent To The Line X Y What Is The Value Of C Quora



Graphing Parabolas



Scaling Reflecting Parabolas Video Khan Academy



The Graph Below Is A Parabola So It Can Be Represented By A Quadratic Function Which Of The Brainly Com



Draw The Graph Of Y X 2 5x 6 Polynomials Maths Class 10



Draw The Graph Of Y X 2 5x 6 And Hence Solve X 2 5x 14 0 Sarthaks Econnect Largest Online Education Community



Solving Quadratic Equations By Graphing Examples



Draw The Graph Of Y X 2 X And Hence Solve X 2 1 0 Sarthaks Econnect Largest Online Education Community



How Do You Sketch The Graph Of Y X 2 8 And Describe The Transformation Socratic



Function F Is Represented By The Equation Given Below F X X 2 5x 6 Function G Has A Vertex At 2 4 Brainly Com



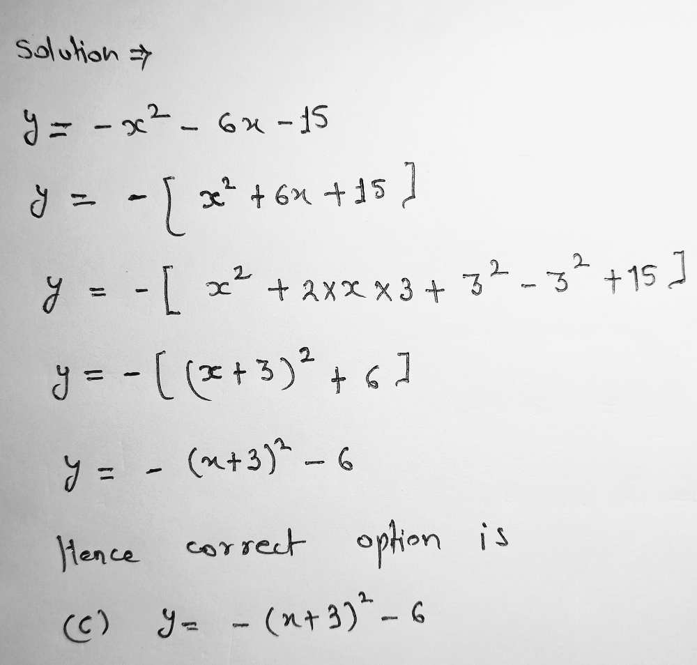
Write The Vertex Form Of The Parabola Y X2 6x 15 Gauthmath



Solved Question Help Use The Shell Method To Find The Vol Chegg Com



Solved 27 Which Is The Equation Of The Parabola With Foc Chegg Com



Solving Quadratic Equations By Graphing Examples



Plotting Parabolas When You Complete A Table Of Values For Y 2x 3 You Get A Straight Line When You Complete A Table Of Values For Y X2



Quadratic Function



1



Bestmaths



Graphing Quadratic Functions



What Is The Vertex Form Of Y X 2 5x 14 Socratic



How To Sketch A Parabola Example 1 Y X 2 3x 5 Youtube



Graph Y X 2 Youtube



How Do You Find An Equation Of The Tangent Line To The Parabola Y X 2 2x 7 At The Point 3 10 Socratic



Graphing Parabolas Using The Vertex Axis Of Symmetry Y Intercept By Jeffrey Bivin Lake Zurich High School Last Updated October Ppt Download



Ex 8 2 3 Find Area Bounded By Y X2 2 Y X X 0 3



Graph Y X 2 3 Youtube



4 Find The Slope M Of The Tangent Lines To The Pa Gauthmath



Instructional Unit The Parabola Day 4 And 5



Draw The Graph Of Quadratic Polynomial Y X Square 5x 6 And Also Find Its Zeros Brainly In



Quadratic Functions Functions Siyavula



Search Q X2 2b5x 2b6 3d0 Factorizacion Tbm Isch



Solved 5 0 Points Find An Equation Of The Parabola 0 Y Chegg Com



Q Tbn And9gctskktm6twdxbjcnsqrqgcrmoxcorxtnkketnz4qwb Tqwvs2oa Usqp Cau



Solution I Need To Graph Each Function Y X2 5x 6 I Tried To Subscript The 2 But It Didnt Work F X X2 4 I Tried To Subscript The 2 But It Didnt Work



Solving Quadratic Equations By Graphing Examples



2 14 Points Details Scalcet9 2 7 003 A Find The Chegg Com



Graphing Y X 2 6x Youtube



In The Xy Plane The Parabola With Equation Y X 11 Intersects The Line With Equation Y 25 At Two Points A And B What Is The Length Of Ab Quora



Solution What Is The Vertex And The Axis Of Symmetry Of The Parabola Y X 2 5x 6



Quadratic Function



Use The Shell Method To Find The Volume Of The Solid Generated By Revolving The Region Bounded By The Line Y 5x 6 And Homeworklib



Excelsior Math 8 Unit 7 Flashcards Quizlet



Find Equation Of Normal Line To Parabola Y X 2 5x 4 That Is Parallel To Line X 3y 5 Youtube



How To Find The Domain Of F X X 2 5x 6 Quora



A Find The Slope Of The Tangent Line To The Chegg Com



Solving Quadratic Equations By Graphing Examples


0 件のコメント:
コメントを投稿